Тарификациялық тізім » Дінмұхамед Қонаев атындағы шағын орталықты орта мектебі
Жамбыл облысы Шу ауданы
"Дінмұхамед Қонаев атындағы орта мектеп "
коммуналдық мемлекеттік мекемесі
Қабылдау бөлімі :
+7(72) 43-50-93
Есепші бөлімі:
+7(72) 23-11-37
Нашар көрушілер
нұсқасы
18
март
2020

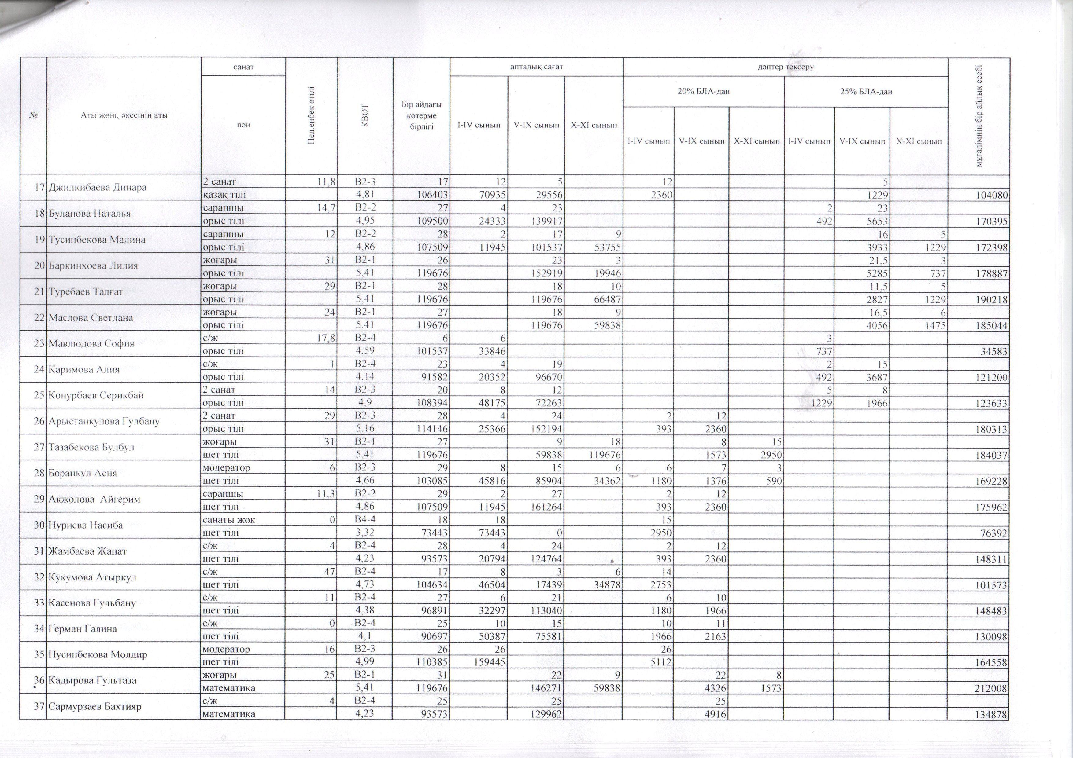
Тарификациялық тізім

Тарификациялық тізім мұғалімдерге және басқа қызыметкерлерге






Қосымша төлемдер